#05 - Best-Practice Example Lessons in the TeachCenter
Interactive and individualized lesson preparation
What is the "lesson" activity in the TeachCenter?
The ”Lesson“ activity allows you to prepare learning materials in a structured way. A lesson consists of several pages. In addition to content pages, there are question pages that can be used for interactivity or revision. Pages can be connected to each other in almost any way, either by buttons at the bottom of the page that allow students to choose whether they want to work on topic A or B next, or based on the answer to a question. Lessons can thus be created to respond to students’ needs and competencies. The key difference between a lesson and other TeachCenter activities is its adaptive behavior. Thus, a lesson enables an individual and flexible learning path.
TeachCenter lessons were used in the practical ”Electronic Circuit Design“ in the winter semester 2019/2020 as part of a flipped classroom concept.
Short description of the course
“Electronic Circuit Design“ in WS19/20
Course type: Practical
Setting: Flipped Classroom
Group size: 25 students
Teacher: Patrick Schrey
Institute: Institute for Electronics (IFE)
Why TeachCenter lessons for a practical?
Students of the course ”Electronic Circuit Design“ should prepare themselves independently for the face-to-face part of the course. However, sending out a regular script is not the ideal solution to prepare for a calculation exercise, because students get theoretical input, but are not required to calculate examples themselves.
Lessons in the TeachCenter, on the other hand, allow you to include question pages in addition to simple content pages, which must be answered before moving on to the next page. Lessons are interactive and adaptive. If the result is incorrect, the page in question must be repeated again, while a correct result allows you to continue through the lesson.
Although interactive videos with H5P are also suitable as preparation for the face-to-face part in other scenarios, lessons were preferred in this setting because they offer the possibility to use the question type ”Calculated“.
How were the lessons structured and how were they used?
The TeachCenter lessons were used as an interactive online script and made available to the students in advance to prepare for the class. A new lesson was released to students approximately every week. The completion of the lessons was not assessed, but the content covered was then assumed as background knowledge in the face-to-face lesson, so that more specific or more difficult examples could be addressed there.
The structure of the lessons basically followed the following scheme:
- Short introduction for orientation and motivation, presentation of the learning objectives for students
- First facts about the topic, presentation of the two transistor types ”Bipolar“ and ”MOSFET“, with questions in between. For differentiation, add more detailed exercises or examples on a different page (as an alternative path). Students who would like to learn about a topic in more detail can visit these pages, the others can skip them.
- Optional choice of path: Do students want to practice with ”bipolar or MOSFET“?
- Example that the students have to solve with the help of an accompanying tutorial
- Solution of the calculation example for self-assessment and conclusions
- Option to switch to the other transistor type and solve the corresponding calculations or move on to summary
- Summary and review of the lesson
Tips for teachers who want to create their own lessons
To create a lesson in TeachCenter, whether as a script replacement or as a standalone unit, the first thing you need is a concept. For this purpose, consider the following questions:
- What learning objectives do I want students to achieve after completing the lesson?
- What content do I want to convey in the lesson?
- How do I divide the content sensibly into individual pages and in what sequence should these be presented (= what jumps from page to page do I need to include)?
- Which questions do I want to use (related to the learning objectives) and where can I sensibly include question pages?
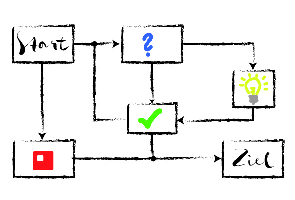
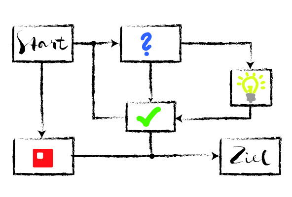
To plan the sequence and jumps within a lesson, it is extremely helpful to create a flowchart (see Fig. 1). Also consider the possibility of sending students down different paths depending on whether a question was answered correctly or incorrectly.
It should also be determined whether the lessons will be graded or included in the overall course grade, or whether they will be voluntary and not monitored. The time required to create a lesson depends on several factors, including the complexity of the structure and whether content from an existing script is reused in lessons or whether the content is newly written.
out more about me in the FAQ.
For general or didactic questions about TeachCenter lessons, please contact the TeachCenter support.
