#05 - Best-Practice-Beispiel Lektionen im TeachCenter
Interaktive und individualisierte Unterrichtsvorbereitung
Was sind TeachCenter Lektionen?
Die Aktivität „Lektion” ermöglicht es, Lernmaterialien strukturiert aufzubereiten. Eine Lektion besteht aus mehreren Seiten. Neben reinen Inhaltsseiten gibt es auch Frageseiten, die für Interaktivität oder zur Überprüfung hergezogen werden können. Seiten können auf nahezu beliebige Weise miteinander verbunden werden. Das geschieht entweder über Schaltflächen am Ende der Seite, mit denen Studierende selbst auswählen können, ob sie Thema A oder B als Nächstes bearbeiten wollen, oder basierend auf der Antwort auf eine Frage. Lektionen können also so erstellt werden, dass sie auf die Wünsche und die Kompetenzen der Studierenden reagieren. Der entscheidende Unterschied zwischen einer Lektion und anderen TeachCenter-Aktivitäten liegt im adaptiven Verhalten. Somit ermöglicht eine Lektion einen individuellen und flexiblen Lernpfad.
Lektionen wurden in der UE „Elektronische Schaltungstechnik” im Wintersemester 2019/2020 im Rahmen eines Flipped-Classroom- Konzepts eingesetzt.
Kurzsteckbrief der Lehrveranstaltung "Elektronische Schaltungstechnik"
Lehrveranstaltungstyp: Übung
Setting: Flipped Classroom
Gruppengröße: 25 Studierende
LV-Leitung: Patrick Schrey
Beteiligte Institute: Institut für Elektronik (IFE)
Warum TeachCenter-Lektionen für eine UE?
Studierende der UE „Elektronische Schaltungstechnik” sollten sich selbstständig auf den Präsenzteil der Lehrveranstaltung vorbereiten. Die Aussendung eines regulären Skriptums ist für eine Rechenübung allerdings nicht die ideale Lösung zur Vorbereitung, da Studierende zwar dadurch theoretischen Input bekommen, aber nicht gefordert sind, selbst Beispiele zu rechnen.
Lektionen im TeachCenter hingegen erlauben es, neben einfachen Inhaltsseiten auch Frageseiten einzubauen, die beantwortet werden müssen, bevor mit der nächsten Seite weitergemacht werden kann. Lektionen sind im Gegensatz zum traditionellen Skriptum interaktiv und adaptiv. Bei einem falschen Ergebnis muss die betreffende Seite nochmals wiederholt werden, während ein richtiges Ergebnis weiter durch die Lektion führt.
Obwohl sich in anderen Szenarien auch interaktive Videos mit H5P als Vorbereitung auf den Präsenzteil eignen, wurden in diesem Setting Lektionen bevorzugt, da bei Lektionen die Möglichkeit besteht, den Fragetyp „Berechnet” zu verwenden.
Wie waren die Lektionen aufgebaut und wie wurden sie eingesetzt?
Die TeachCenter-Lektionen wurden als interaktives Online-Skriptum eingesetzt und den Studierenden vorab zur Vorbereitung der Einheit zur Verfügung gestellt. Dabei wurde in etwa jede Woche eine neue Lektion für die Studierenden frei-geschaltet. Der Abschluss der Lektionen wurde dabei nicht bewertet, allerdings wurden die behandelten Inhalte anschließend im eigentlichen Übungsteil als Hintergrundwissen vorausgesetzt, sodass dort auf speziellere oder schwierigere Beispiele eingegangen werden konnte.
Der Aufbau der Lektionen folgte im Wesentlichen folgendem Schema:
- Kurze Einführung zur Orientierung und Motivation, Präsentation der Lernziele für Studierende
- Erste Fakten zum Thema, Vorstellung der beiden Transistortypen „Bipolar“ und „MOSFET“, aufgelockert mit Fragen zwischendurch. Fügen Sie zur Differenzierung auf einer eigenen Seite (als Alternativpfad) Vertiefungsaufgaben oder ansprechende Beispiele ein. Studierende, die sich vertieft mit einem Thema beschäftigen möchten, können diese Seiten besuchen, die anderen können sie überspringen.
- Optionale Auswahl des Pfades: Möchten sich Studierende mit Bipolar oder MOSFET beschäftigen?
- Beispiel, welches die Studierenden mithilfe einer begleitenden Anleitung selbst lösen müssen
- Auflösung des Rechenbeispiels zur Selbstkontrolle und Schlussfolgerungen
- Möglichkeit, zum anderen Transistortyp zu wechseln und die entsprechenden Rechenbeispiele zu lösen oder zur Zusammenfassung weiterzugehen
- Zusammenfassung und Wiederholung der Lektion
Tipps für Lehrende, die selbst Lektionen erstellen möchten
Für die Erstellung einer Lektion im TeachCenter, sei es als Skriptumersatz oder eigene Unterrichtseinheit, ist in erster Linie ein Konzept notwendig.
Dazu sollte man folgende Fragen berücksichtigen:
- Welche Lernziele sollen von Studierenden nach Abschluss der Lektion erreicht werden?
- Welche Inhalte möchte ich in der Lektion transportieren?
- Wie teile ich die Inhalte sinnvoll auf einzelne Seiten auf und in welcher Abfolge sollen diese präsentiert werden (= welche Sprünge von Seite zu Seite muss ich einbauen)?
- Welche Fragen möchte ich verwenden (stehen im Zusammenhang mit den Lernzielen) und wo kann ich Frageseiten sinnvoll einbauen?
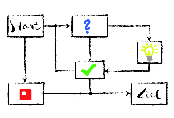
Zur Planung der Abfolge und der Sprünge innerhalb einer Lektion ist es äußerst hilfreich, ein Flussdiagramm anzulegen (siehe Abb. 1). Denken Sie dabei auch an die Möglichkeit, Studierende auf verschiedene Pfade zu schicken, je nachdem, ob eine Frage richtig oder falsch beantwortet wurde.
Außerdem sollte festgelegt werden, ob die Lektionen bewertet werden bzw. in die Gesamtbewertung des Kurses einfließen oder ob deren Bearbeitung auf Freiwilligkeit beruht und nicht kontrolliert wird. Der Zeitaufwand für die Erstellung einer Lektion hängt von mehreren Faktoren ab, unter anderem von der Komplexität des Aufbaus und davon, ob Inhalte aus einem bestehenden Skriptum nur für die Verwendung in Lektionen aufbereitet werden oder ob die Inhalte neu geschrieben werden.
In den FAQ erfahren Sie mehr über mich.
Bei generellen oder didaktischen Fragen zu TeachCenter-Lektionen kontaktieren Sie gerne das TeachCenter-Team.
